Question
Rahul does half the work done by Karan in 2/3 of the time.
If they together can complete the work in 14 days, how much time will Karan take to complete the work?Solution
Let time taken by Karan to complete the work = t days
Rahul takes 2 Ă— (2t/3) = 4t/3 days.
Efficiency of Karan = 1/t,
Efficiency of Rahul = 3/4t.
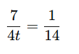
Total efficiency = 1/t + 3/4t = 1/14
Solving for t, we get t = 24.5 days.
In the question below, some letters are given in two ovals, intersecting each other. The letter(s) given in the intersected portion can be used more tha...
Select a figure amongst the four alternatives that when placed in the blank space(?) of figure X will complete the pattern. (Rotation is not allowed).<...
In a certain code language, NEST is written as 8426, WISE is written as 6912, and RAIN is written as 7859.
The letters do not correspond to ...
Three statements are given, followed by three conclusions numbered I, II and III. Assuming the statements to be true, even if they seem to be at varianc...
An information is given, followed by two statements labelled I and II. Identify which of the statements is/are possible reason(s) behind the given infor...
Which figure should replace the question mark (?) if the following series were to be continued?
Six students Mani, Nisha, Ojas, Parth, Qasim, and Riya are sitting on the classroom bench facing towards the blackboard. Mani is sitting between Parth a...
Statements:
• All trojans are fairies.
• No fairy is a flower.
• All viruses are trojans.
Conclusions:
I. N...
The average weight of A, B and C is 60 kg. If the average weight of A and B is 55 kg and the average weight of B and C is 58 kg, then what is the weight...
BE17 is related to DJ51 in a certain way. In the same way, GJ23 is related to NT69. Which of the following are conect matches following the same logic?<...