Question
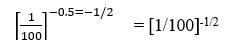
Simplify the following.
src="https://www.ixambee.com/questionimage/Chapter/1696410102-Q9.png" alt="" />Solution
The given Equation follows a series. Which is given in multiplication, in this 2 will be reduced to 2, 3 will be reduced to 3 and similarly in the end 99 will be reduced to 99.
= [100/1]1/2 = √ 100/1 =10.
As souls become aware that they (A)/ contain everything within themselves, they begin to (B) / comprehend and assimilate things needed for progress. (C)...
 Find out which part of a sentence has an error and indicate it corresponding to the appropriate letters.Â
In such delicate matters, we ofte...
The sentence below is divided into five segments. Select the option that has an error, if any.Â
The supreme court must (A) / remember that (...
She well knew her parents (A) / would never buy her the colorful balloons (B) / because they would say she is too old to play with such toys. (C) / No e...
In the following question, a sentence is given, divided into five parts. Part in bold is grammatically correct. Out of the other four parts, one part c...
The chairman is accessible for staff members, especially those with a personal problem.
He reasoned that reform would be futile, as nobody would (A)/surrender power peacefully, and he grew (B)/ever more despondent in the 1930s when European...
In the following question, some part of the sentence may have errors. Find out which part of the sentence has an error and select the appropriate optio...
Quickly he ran (A)/towards(B)/ the finish line, but (C)/stumbled just before crossing.(D)
Identify the segment in the sentence that contains a grammatical error.
Let me know if you need/ a further information about the programme / that...