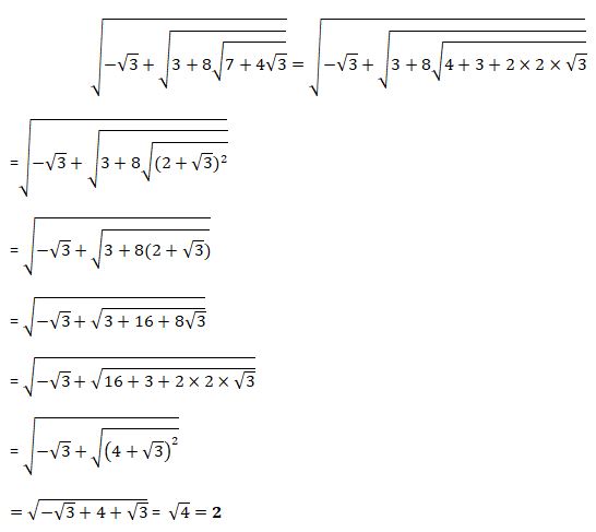
Question
Solution
In how many ways can a squad of 10 people be selected from 9 trainees and 5 supervisors such that the squad has at least 8 trainees?
From 6 officers and 8 Jawans, in how many ways can 5 be chosen to include exactly 3 officers?
A group consists of 10 boys and 10 girls. In how many ways can 6 boys and 4 girls be selected from the group?
Number of 4-digit numbers that can be formed using digits 1β9 without repetition and are divisible by 5.
In how many different ways can the letters of the word 'COMPUTER' be arranged in such a way that the vowels always come together?
In how many different ways can the letters of the word “MONDAY” be arranged in such a way that the vowels always come together?
Among a set of 4 black balls and 3 white balls, how many selections of 3 balls can be made such that at least 2 of them are black balls?
Five articles out of which 3 are cups and rest are glasses have to be arranged on a shelf. Find the number of ways of arrangement in which all three cup...
A club has 6 men and 5 women. How many committees of 5 have at least 2 women?
How many 4-digit numbers can be formed using digits 1β9 if repetition is not allowed and the number is even?