Question
Answer the questions based on the information given
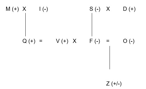
below. 'L @ M' means L is the husband of M. 'L $ M' means L is the mother of M. 'L % M' means L is the brother of M. 'L & M' means L is the daughter of M. 'L # M' means L is the father of M. Given: If 'M @ I $ Q % V @ F & S $ O & D' If 'O $ Z', then how is Z related to husband of F?┬аSolution
/1765368838-RRBSCALE2MT131601.jpg)
рдиреАрдЪреЗ рджрд┐рдП рдЧрдП рд╡рд╛рдХреНрдпреЛрдВ рдХрд╛ рдорд┐рд▓рд╛рди рдХрд░реЗрдВ:
(i) рдпрд╣ рдЕрдиреБрдмрдВрдз рдкрд╛рд░рд╕реНрдкрд░рд┐...
рдиреАрдЪреЗ рджрд┐рдП рдЧрдП рд╡рд╛рдХреНрдпреЛрдВ рдХреЗ рд╕рд╣реА рдЕрдиреБрд╡рд╛рдж рдХрд╛ рдорд┐рд▓рд╛рди рдХрд░реЗрдВ рдФрд░ рдЙрдЪрд┐рдд рд╡рд┐я┐╜...
рдирд┐рдореНрдирд▓рд┐рдЦрд┐рдд рд╡рд╛рдХреНрдп рдХрд╛ рд╕рд╣реА рдЕрдиреБрд╡рд╛рдж рдХреМрди-рд╕рд╛ рд╡рд┐рдХрд▓реНрдк рд╣реЛрдЧрд╛ред
Financia...
рдиреАрдЪреЗ рджрд┐рдП рдЧрдП рд╢рдмреНрджреЛрдВ рдХрд╛ рд╕рд╣реА рд╣рд┐рдВрджреА рдЕрдиреБрд╡рд╛рдж рд╡рд┐рдХрд▓реНрдкреЛрдВ рд╕реЗ рдЪрдпрди рдХрд░я┐╜...
рд╕рдВрд╡рд┐рдзрд╛рди рдХреА рдХреМрди - рд╕реА рдЕрдиреБрд╕реВрдЪреА рдореЗрдВ рдХреНрд╖реЗрддреНрд░реАрдп рднрд╛рд╖рд╛рдУрдВ рдХрд╛ рдЙрд▓реНрд▓реЗрдЦ...
рдиреАрдЪреЗ рджрд┐рдП рдЧрдП рд╢рдмреНрджреЛрдВ рдХрд╛ рд╕рд╣реА рд╣рд┐рдВрджреА рдЕрдиреБрд╡рд╛рдж рд╡рд┐рдХрд▓реНрдкреЛрдВ рд╕реЗ рдЪрдпрди рдХрд░я┐╜...
рдЗрдирдореЗрдВ рд╕реЗ рдХреНрдпрд╛ тАШрдЖрд╡рдВрдЯрдитАЩ рдХрд╛ рд╕рд╣реА рдЕрдВрдЧреНрд░реЗрдЬреА рдкрд░реНрдпрд╛рдп рд╣реИ ?
рдЗрд╕рдХреЗ рдЕрд▓рд╛рд╡рд╛ рдЬреАрдПрд╕рдЯреА рдХреНрд╖рддрд┐рдкреВрд░реНрддрд┐ рдХреА рдкреВрд░реА рд░рд╛рд╢рд┐ рднреА рд░рд╛рдЬреНрдпреЛрдВ рдХреЛ я┐╜...
рд░рд╛рдЬрднрд╛рд╖рд╛ рдЖрдпреЛрдЧ рдХрд┐ рд╕рд┐реЮрд╛рд░рд┐рд╢реЛ рдкрд░ рд╡рд┐рдЪрд╛рд░ рдХрд░рдиреЗ рдХреЗ рд▓рд┐рдП рдЧрдард┐рдд рд╕рдорд┐рддрд┐ рдХ...
рд░рд╛рдЬрднрд╛рд╖рд╛ рдХрд╛рд░реНрдпрд╛рдиреНрд╡рдпрди рд╕рдорд┐рддрд┐рдпрд╛рдВ рдХрд┐рд╕ рд╕реНрддрд░ рдкрд░ рдШрдЯрд┐рдд рд╣реЛрддреА рд╣реИрдВ?