Question
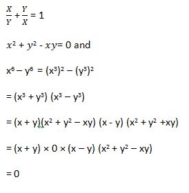
If the sum of (x/y)Â Â and its reciprocal is 1, then
the value of x6Â â y6Â will be.Solution
Â
Find the radius of the sphere whose volume is 562.5Ď cm3
What will be inradius of a right angle triangle whose base is 11 cm & height is 60 cm ?

The lengths of three medians in a triangles are 15 cm, 20 cm, 25 cm. What is the area of that traingle (in cm 2 )?
If the volume of a cube is 64cmÂł, then the diagonal of cube is
In a triangle ABC, AB = 13 cm, BC = 14 cm, and AC = 15 cm. Find the area of the triangle and the length of the altitude from vertex A to side BC.
If I is the incentre of ÎABC , if â BAC = 450 , then what is the measure of â BIC?
In the figure given below, AC = 16 cm and BF = 5 cm. If AE:CE = 5:3, then find the perimeter of ÎABC.
If I is the incentre of ÎABC , if â BAC = 700 , then what is the measure of â BIC?
In a circle, the chord AB is 12 cm, and the perpendicular from the center O to the chord AB bisects it at point P. If OP = 5 cm, what is the radius of t...