Question
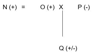
If 'A # B' means A is the brother of B, 'A $ B' means A
is the mother of B, 'A % B' means A is the spouse of B, then which of the following expressions shows that N is the uncle of Q?Solution
/1771411221-RRBNTPC2026MT1385.jpg)
Ten tickets numbered 1 to 15 are placed in a box, mixed up thoroughly and then one ticket is drawn randomly. If it is known that the number on the drawn...
A basket contains 3 yellow, 5 purple and 3 red flowers. If 3 flowers are drawn at random, what is the probability that at least two are of same colour?
- Raman has three children and he truthfully says, "at least one of my children is a girl." What is the probability that all of his children are girls?
A bag contains 9 blue, 12 yellow and 15 black balls. Two balls are randomly drawn from the bag, what is the probability that a blue and a yellow ball ar...
The chance that Nikhil can solve a certain problem is1/7, the chance that Tarun can solve it is3/5. Find the probability that the problem is solved if t...
Two fair six-faced dice are rolled simultaneously. What is the probability that the product of the numbers obtained is divisible by 4 but not divisible ...
Three fair coins are tossed simultaneously. Find the probability that at least two heads appear.
A bag contains a certain number of fruits of three varieties: apple, orange, and banana. The total number of apples and oranges is 13, which is 5 more t...
- Find the probability of selecting a card that is not a face card from a well shuffled deck.
A bag contains 5 red balls, 4 blue balls and 3 green balls. If one ball is drawn at random, what is the probability that the ball drawn is neither red n...