Question
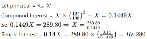
The compound interest on a certain principal for 2 years at
7% per annum compounded annually is Rs. 289.80. What will be the simple interest for the same data?Solution
ATQ,
Rajesh spent 47% of his monthly income on food and 53% of the remaining of study. If total monthly savings (after spending on food and study) of Rajesh ...
A shopkeeper marks up the price of an article by 30% and then gives a 20% discount on the marked price. If the final selling price is ₹2,184, determin...
The respective ratio of monthly income of A to monthly income of B is 6:7, and A’s saving is (100/7)% more than B’s saving. Find the expenditure of ...
- Aman spent 25% of his income on groceries and out of the remaining amount, he spent 30% on leisure activities, 20% on utilities, 10% on rent, and saved Rs....
A number increases by 20% and becomes X. If X is later decreased by 25%, the final value is 180. Find the original number.
In an office, there are some employees. Among them, 30% prefer Tea, 42% prefer Coffee, and the rest prefer Juice. If the differen...
The income of ‘A’ increases by 35% every year. If the present income of ‘A’ is Rs. 45562.5 and his expenditure 2 years ago from now was Rs. 1200...
The population of the town is 10,000. If the male population increases by 5% and the female population by 10%, the population will become 10,700. How mu...
In an examination a candidate who gets 30% of the marks fails by 75 marks. But another candidate who gets 42% marks gets 15 marks more than are r...
Seven years ago, the ratio of the ages of A and B was 4: 5. Eight years hence, the ratio of the ages of A and B will be 9:10. What is the sum of their p...