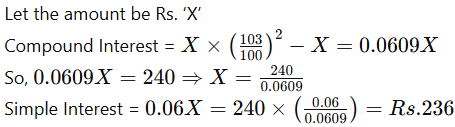
Question
A person earns Rs. 240 as compound interest on a sum for 2
years at 3% per annum, compounded yearly. What would be the simple interest on the same amount at the same rate and period?Solution
ATQ,
Select the option that is related to fifth number in the same way as the second number is related to the first number and the fourth number is related...
Select the related letters/words/numbers from the given alternatives.
E @ G = 37 : L @ D = 50 :: H @ K = 90 : : P @ F = ?
Four number-pairs are given, out of which three are alike in a certain manner and one is different. Choose the different number pair.
Select the option that is NOT like the given set.
(8, 40, 56)
Medicine : Dispensary  ::  Aeroplane : ?
If M = 26, MET = 76, then ‘MEAT’ will be equal to?
Select the related word/letters/number from the given alternatives.

Select the set in which the numbers are related in the same way as are the numbers of the following set.
(NOTE: Operations should be performed on...
Select the option that is related to the third number in the same way as the second number is related to the first number.
53: 1225:: 82: ?
Select the option that is related to the fifth number in the same way as the second number is related to first number and the third number is related to...