Question
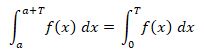
If f(x) is periodic of period T, then:
src="https://www.ixambee.com/questionimage/Chapter/1745472873-1017.JPG" alt="" />Solution
For any periodic function f(x) with period T: This means the value of the integral over one full period is independent of
Quantity 1: If a student scores 25% marks then he is failed by 210 marks. But if he score 55% marks than he is passed with 240 marks. Find the passing ...
The question consists of two quantities, choose the correct option which represents the. correct relation between Quantity I and Quantity II.
...
The speed of train A is 180 km/hr and it can cross a pole in 4 seconds. Travelling in same direction Train A can cross a man sitting inside train B in 1...
Which of the following is the correct relation between Quantity I and Quantity II?
Quantity I: The area of a square is 81 cm². Find the perimete...
Quantity-I: 'Ajay' is capable of completing 25% of a task in 13 days. Together, 'Ajay' and 'Bijay' can finish the entire task in 24 days. If 'Bijay' al...
Quantity I: An amount is to be distributed among A, B, and C in the ratio 1:3:2 respectively, but was erroneously distributed in the ratio 2:7:9 due to...
Quantity-I: Both 'Asmita' and 'Bittu' can finish a sales target in 48 days and 27 days, respectively. If they begin working together, determine the n...
Quantity I : A Alone can complete a work in 21 days. If be alone work for eight days and then leaves, then B alone can complete the remaining work ...
Quantity 1: A factory produces 1200 gadgets in 8 hours. If the production rate is increased by 25%, how many gadgets can be produced in the same time?
In the question, two quantities I and II are given. You have to solve both the quantities to establish the correct relation between Quantity-I and Quan...