Question
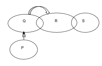
Statements: No P is Q. Some S is R.
Only a few Q is R. Conclusions: Some S can never be P. All Q can be R. In each of the questions below, Statements are given followed by two conclusions. You have to take the given statements to be true even if they seem to be at variance with commonly known facts. Read all the conclusions and then decide which of the given conclusions logically follows from the given statements disregarding commonly known facts.Solution

Two pipes A and B can fill a tank in 24 min., and 32 min, respectively. If both the pipes are opened simultaneously, after how much time B should be clo...
Pipe P can fill a tank in 5 hours, but pipe Q can empty it completely in 20 hours. If both are opened together, find the time needed to fill the tank.
Pipes βAβ and βBβ can fill a tank in 6 hours and 9 hours, respectively. If pipe βCβ is opened along with pipes βAβ and βBβ, then the...
Pipe A can fill a tank in 45 minutes while pipe B can fill it in ____ minutes. Thereβs a leak in the tank which can empty it in _____minutes. When bot...
A tank has three pipes, X, Y, and Z. X can fill the tank in 8 hours, Y can fill it in 12 hours, and Z can empty it in 6 hours. If X, Y, and Z are opened...
A single tap takes 8 hours to fill the entire tank. Initially, only one tap is open, and it fills one-fourth of the tank. At that point, three additiona...
- Pipe 'A' is 5 times as efficient as pipe 'B'. Pipe 'C', which is one-fifth as efficient as pipe 'B', can fill a tank alone in 25 hours. Find difference bet...
Pipe βAβ and pipe βBβ can fill a cistern in 20 minutes and 10 minutes respectively. Pipe βCβ alone can empty the cistern in 12 minutes. If a...
With a bucket full of water, a tank can be filled with 16 buckets. When each bucket holds 12.5 liters of water, how many buckets of 10-liter capacity ca...
Pipes A and B can fill the tank in 16 and 20 hours respectively. Pipe C empties it in βxβ hours. If all are opened together, the tank gets filled in...