Question
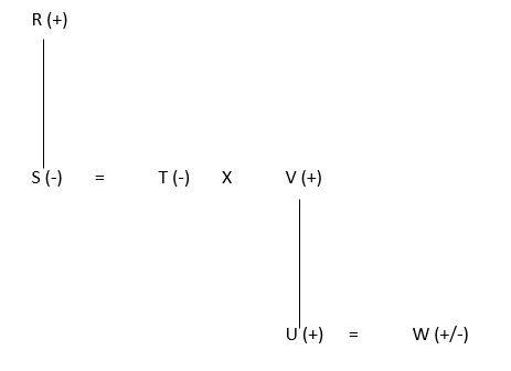
If 'A@B' means 'A is father of B', 'A#B' means 'A is
wife of B', 'A$B' means 'A is sister of B', 'A%B' means 'A is brother of B'. If 'R @ S $ T # V @ U % W' is true, then how is R related to W?Solution

A sold an article at 55% profit. If the profit earned had been 224% more, then the profit percentage would have been numerically equal to CP. Find the a...
Select the options that correctly indicate a 25% profit and a 15% loss
While selling a Bike, Max gives a discount of 25% on the marked price. If he gives a discount of 30%, he earns Rs. 120 less as profit. The marked price ...
The cost price of an article is Rs. 3500 and a shopkeeper wants to earn 25% profit on it after giving 20% discount on marked price. Find the marked pric...
If 7% of S.P. is equal to 8% of C.P. and if 9% of S.P. is Rs. 2 more than 10% of C.P, then find C.P. and S.P.
An automobile agency launched a scheme that if a customer purchased two Jabas Discover bikes, one extra Jabas Discover will be free and if he purchases ...
The ratio of the cost price and marked price of an article is 4:9, respectively. The article is sold after giving a discount of Rs. 700 such that there ...
A shopkeeper bought two articles for Rs. 350 each. If he sold one of them at 50% profit and the other at 10% loss, then find the difference between the ...
- A businessman sold a commodity for Rs. 4,250 and gained a profit of 25%. Find the new selling price if he decides to earn only 15% profit.
The cost price of article A and B is Rs. ‘X’ and Rs. (X + 350), respectively. Article A is sold at 20% profit while article B is sold at 10%...