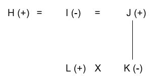
Question
I is the sister of J. H is the brother of I. K is the
wife of L. J is the father of K. How is J related to L?┬аSolution
/1770357134-SSCGDPREMT111801.jpg)
рдирд┐рдореНрдирд▓рд┐рдЦрд┐рдд рдкреНрд░рд╢реНрди рдореЗрдВ рдПрдХ рдЕрдВрдЧреНрд░реЗрдЬреА рдХрд╛ рд╢рдмреНрдж рджрд┐рдпрд╛ рдЧрдпрд╛ рд╣реИред рдЙя┐╜...
рдиреАрдЪреЗ рджрд┐рдП рдЧрдП рд╢рдмреНрджреЛрдВ рдХрд╛ рд╕рд╣реА рдЕрдиреБрд╡рд╛рдж рд╡рд┐рдХрд▓реНрдкреЛрдВ рд╕реЗ рдЪрдпрди рдХрд░реЗрдВ:┬а
...
рджрд┐рдП рдЧрдП рдкреНрд░рддреНрдпреЗрдХ рдкреНрд░рд╢реНрди рдореЗрдВ рдПрдХ рд╣рд┐рдВрджреА ┬ардХрд╛ рд╡рд╛рдХреНрдп рджрд┐рдпрд╛ рдЧрдпрд╛ ...
рдирд┐рдореНрдирд▓рд┐рдЦрд┐рдд рдХрд╛ рд╕рд╣реА рдЕрдиреБрд╡рд╛рдж рдЪреБрдиреЗрдВ:┬а
(i) рдирд┐рд░реАрдХреНрд╖рдг рд░рд┐рдкреЛрд░реНрдЯ рдЕрдня┐╜...
рдХрд┐рд╕ рдЕрдиреБрдЪреНрдЫреЗрдж рдореЗрдВ рд╣рд┐рдВрджреА рдХреЛ рд╕рдВрдШ рдХреА рд░рд╛рдЬрднрд╛рд╖рд╛ рдШреЛрд╖рд┐рдд рдХрд┐рдпрд╛ рдЧрдпрд╛ рд╣реИ ?
рдиреАрдЪреЗ рджрд┐рдП рдЧрдП рд╢рдмреНрджреЛрдВ рдХрд╛ рд╕рд╣реА рдЕрдиреБрд╡рд╛рдж рд╡рд┐рдХрд▓реНрдкреЛрдВ рд╕реЗ рдЪрдпрди рдХрд░реЗрдВ:┬а
...
рдкрд░рд┐рдзрд┐ рдХреЗ рд▓рд┐рдП рд▓рд┐рдП рд╕рд╣реА рдкрд╛рд░рд┐рднрд╛рд╖рд┐рдХ рд╢рдмреНрдж рд╣реИ
рдирд┐рдореНрдирд▓рд┐рдЦрд┐рдд рдореЗрдВ рд╕реЗ тАШ break even pointтАЩ рдХрд╛ рд╕рд╣реА рдкрд░реНрдпрд╛рдп рд╣реИтАФ┬а
рдиреАрдЪреЗ рджреА рдЧрдИ рддрд╛рд▓рд┐рдХрд╛ рдореЗрдВ рд╡рд╛рдХреНрдпреЛрдВ рдХреЗ рд╕рд╣реА рдЕрдиреБрд╡рд╛рдж рдХрд╛ рдорд┐рд▓рд╛рди рдХрд░реЗрдВ я┐╜...
рдиреАрдЪреЗ рджрд┐рдП рдЧрдП рд╢рдмреНрджреЛрдВ рдХрд╛ рд╕рд╣реА рд╣рд┐рдВрджреА рдЕрдиреБрд╡рд╛рдж рд╡рд┐рдХрд▓реНрдкреЛрдВ рд╕реЗ рдЪрдпрди рдХрд░реЗ...