Question
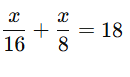
A boat's speed in still water is 12 km/hr, and the
currentās speed is 4 km/hr. If the boat takes a total of 18 hours to travel āxā km each in both directions, find āxā.Solution
ATQ, Downstream speed = 12+4=16 km/hr
Upstream speed = 12ā4=8 km/hr
Taking LCM of 16 and 8, 
If it is possible to make a meaningful English word from the 4th, 5th, 7th and 9th letter of the word āAPPROXIMATEā, by using...
In a row of letters, a letter is 7th from left end and 15th from the right end. How many letters are there in a row?
How many pairs of letters are there in the word āSTRONGESTā which has as many letters between them (both forward and backward direction) in the word...
How many such pairs of letters are there in the word āEMERGENCYā each of which has as many letters between them in the word in forward and backward ...
- How many pairs of letters are there in the word āINNOVATIONā which maintain the same positional gap as in the English alphabetical series (both forward...
If in the word DOMINATE, first all the consonants are arranged in alphabetical order from left to right and then all vowels are arranged in alphabetical...
Five words are given in the options and taking four letters of each of the words as specified in front of it (in the same order). Different words can be...
In the word ā PARACHUTE ā all consonants are written as their preceding letter and all vowels as their following letters. Now all letters are arrang...
Which is not a part of the Oracle database block?
If each vowel of the word TOWARDS is changed to its next vowel in the English alphabets and each consonant is changed to its previous vowel of the Engli...