Question
A firm has total assets of ₹200 lakhs, intangible
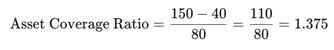
assets worth ₹50 lakhs, current assets worth ₹60 lakhs, current liabilities of ₹40 lakhs, and total debt including preference shares of ₹80 lakhs. What is the Asset Coverage Ratio?Solution
Given: • Total Assets = ₹200 lakh • Intangible Assets = ₹50 lakh → So, Tangible Assets = ₹200 - ₹50 = ₹150 lakh • Current Liabilities = ₹40 lakh • Total Debt (including preference shares) = ₹80 lakh Step-by-Step Calculation: Answer: C. 1.38
Investing in the share market bring profits along with many risks.
Her gratuity and provident fund were settled in 2005. Since , her request for pension was not considered.
...- Find out the error according to the grammar and context of the given sentences. If there is no error, mark option 5, i.e. No error. (Ignore the punctuation...
Read each sentence carefully to find out whether there is any grammatical or idiomatic error. The error, if any, will be in one part of the sentence. M...
The act of join (A)/a gym alone doesn’t guarantee (B)/you the guidance you need (C)/ No error(D).
In Saturday, New York detected (A)/three more cases of the omicron variant, (B)/bringing the total number (C)/of the statersquo;s cases to eight (D).
When we entered the party , everyone around was all decked for and looking beautiful
The government has the benefit of a (1)/detail blueprint on comprehensive tax (2)/ reforms prepared by experts, and it (3) should be actualised through ...
Each sentence below is divided into five parts (a), (b), (c), (d), and (e) . Identify the part that contains the error. If there is no error, choose op...
It is the facts that she did not exhaust all the procedural avenues before her that has left her open to charges that her ruling has a political hue .<...