Question
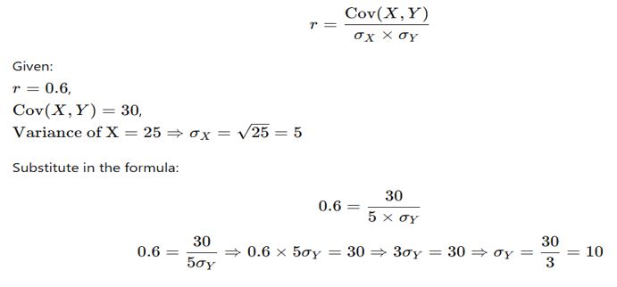
The coefficient of correlation between two variables X
and Y is 0.6 . The covariance between X and Y is 30 . The variance of X is 25 . Find the standard deviation of Y.Solution
┬а рдЕрд╢реБрджреНрдз рд╡рд░реНрддрдиреА рд╡рд╛рд▓рд╛ рд╢рдмреНрдж рд╣реИ __________
'рднреВрдЧреЛрд▓' рдХрд╛ рд╡рд┐рдкрд░реАрддрд╛рд░реНрдердХ рд╢рдмреНрдж рд╣реИ
рдХреЛрдИ рди рдХреЛрдИ(1 ) рдкреНрд░рддреНрдпреЗрдХ рд╡реНрдпрдХреНрддрд┐ рдХреЗ(2 )┬а рдЬреАрд╡рди рдХрд╛(3 ) рд▓рдХреНрд╖реНрдп рд╣реЛрдия┐╜...
"рд╣рд┐рдорд╛рд▓рдп рд╕реЗ рдЧрдВрдЧрд╛ рдирд┐рдХрд▓рддреА рд╣реИрдВ" рдореЗрдВ рдХрд┐рд╕ рдХрд╛рд░рдХ рдХрд╛ рдкреНрд░рдпреЛрдЧ рд╣реБрдЖ рд╣реИ?
- рдирд┐рдореНрдирд▓рд┐рдЦрд┐рдд рдореЗрдВ рд╕реЗ рдХреМрди-рд╕рд╛ рд╢рдмреНрдж рдЧреБрдгрд╡рд╛рдЪрдХ рд╡рд┐рд╢реЗрд╖рдг рд╣реИ?
'рд╢рд╛рдк' рдХреА рд╕рд╣реА рд╡рд░реНрддрдиреА рдХрд╛ рдЪрдпрди рдХреАрдЬрд┐рдП-
рдирд┐рдореНрди рдореЗрдВ рд╕реЗ рд╢реБрджреНрдз рд╡рд░реНрддрдиреА рд╡рд╛рд▓рд╛ рд╢рдмреНрдж рд╣реИ
тАШрд╣рдБрд╕рдирд╛тАЩ рдХреИрд╕реА рдХреНрд░рд┐рдпрд╛ рд╣реИ?
рдирд┐рдореНрдирд▓рд┐рдЦрд┐рдд рдореЗрдВ рд╕реЗ рдПрдХ рд╢рдмреНрдж 'рдЖрдо' рдХрд╛ рдкрд░реНрдпрд╛рдпрд╡рд╛рдЪреА рдирд╣реАрдВ рд╣реИ :
рдирд┐рдореНрдирд▓рд┐рдЦрд┐рдд рдореЗрдВ рд╕реЗ рд╢реБрджреНрдз рд╡рд░реНрддрдиреА рд╡рд╛рд▓рд╛ рд╢рдмреНрдж рд╣реИ