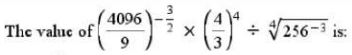
Question
There is no percolation of political ideas from the
membership to the leadership рдирд┐рд░реНрджреЗрд╢ : рдирд┐рдореНрдирд▓рд┐рдЦрд┐рдд рд╡рд╛рдХреНрдп рдХрд╛ рдЕрдВрдЧреНрд░реЗрдЬреА рдореЗрдВ рд╕рд╣реА рдЕрдиреБрд╡рд╛рдж рд╡рд╛рд▓рд╛ рд╡рд┐рдХрд▓реНрдк рдЪреБрдирд┐рдП :Solution
The correct answer is A
Ivory hunters were responsible for wiped out elephants in North Africa perhaps about 1,000 years ago, in much of South Africa in the 19th century and mo...
Given below is a sentence with or without an error. The error, if any, is in one part of the sentence. Choose the correct part which contains the error...
Kohli jumped high in the air (A), caught the ball┬а (B) and throwing back into the field of play (C) before falling outside the boundary ropes. (D) No e...
In the sentence given below, four words have been printed in bold which are numbered (1), (2), (3) and (4). One of these words may be misspelt or inapp...
- Read each sentence to find out whether there is any grammatical error in it. The error, if any, will be in one part of the sentence. Mark the part with the...
In the following questions, a sentence is divided into four parts. Choose the part of the sentence which may contain a grammatical error in it. If all ...
Select the segment which has a grammatical error .
Since the┬а Praveen failed to pay his rent on time the owner denied him access to the premis...
The following sentence has been split into four segments. Identify the segment that contains a grammatical error.
She suggested that we should (...
In the question below, three sentences are given, each divided into four parts, which may or may not contain grammatical errors. From the options, choos...
In the question given below, a sentence is given, divided into parts. One of the parts may contain an error. Identify the part that contains the err...