Question
If the monthly salary of Ramesh is (80/4)% more than
that of Suresh, then how much percent less is Suresh’s monthly salary compared to Ramesh’s salary?Solution
ATQ,
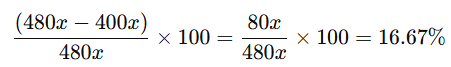
Let the monthly income of Suresh be Rs. 400x.
Since Ramesh’s income is (80/4)% = 20% more than Suresh’s income:
Now, the required percentage decrease:
On travelling with 45% less speed than his actual speed, Mohan reached the destination 6 hours late. Find the time taken by him to reach his destination...
If I can walk a certain distance in 25 days when I rest 8 hours a day, how long will it take me to walk twice as far as if I walk twice as fast and res...
- Nikita covered a total distance of 400 km — partly by airplane at 200 km/h and partly by bus at 80 km/h. If she took 3.5 hours to reach, how many kilomet...
A cyclist travels from town P to town Q at 12 km/h and returns from Q to P by the same route at a speed which is 25% higher. Due to the increase in spee...
Two trains X and Y start at the same time in the opposite direction from two points P and Q and arrive at their destinations 25 and 16 hours respectivel...
A train moving at 3/5th of its normal speed reaches its destination 10 hours late. Find the normal time taken by it.
Abhinav improved his average travel speed by 8 km/h after journeying for 5 hours, completing his trip in a total of 8 hours. If instead he had boosted h...
A was travelling from point X to point Y. He increased his speed by 20 km/h after every hour. He reached his destination in 14 hours. If his initial spe...
A is cycling at an average speed of 10 km/hr such that he can reach a certain point at 12 noon. If he cycles at 30 km/hr, then he will reach the destina...
- How far will 'Puneet' travel by the time he catches up to 'Bittu', given that 'Puneet' starts 90 km behind and moves at 45 km/h while 'Bittu' moves at 30 k...