Question
Two projectiles are launched simultaneously from the
same point with equal initial speeds but different angles θ and (90°– θ). Which of the following is true about their time of flights and ranges (neglecting air resistance)?Solution
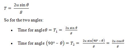
When two projectiles are launched from the same point with equal initial speeds but at angles θ and (90° – θ), their behaviour can be understood using basic projectile motion equations. 1. Time of Flight (T) Time of flight is given by: Thus, time of flights are different , unless θ = 90 ° 2. Range (R) Range is given by:
So, both projectiles have the same range . Therefore, the correct answer is option (b).
Article ___________Â of the Indian Constitution gives an extensive original jurisdiction to the Supreme Court in regard to enforcement of Fundamental R...
Where was the 5th International Conference on Disaster Resilient Infrastructure (ICDRI) 2023 held in April 2023?
Match the positions in List I with the states in List II, related to the 36th National Games 2022, and select the correct answer from the codes below.
Which of the following is correct in regards to the major schemes and their respective fund allocations for the fiscal year 2024-2025, as outlined in th...
What are the prerequisites for declaring any area as a 'Scheduled Area' under the Fifth Schedule of the Constitution of India?
1. Preponderanc...
The protection of interests of minorities under the Constitution of India lies under ______.
What was the theme for India’s first National Space Day, celebrated on August 23, 2024, to mark the successful landing of the Vikram Lander from Chand...
At the 66th National Film Awards, 2019, which state wins the Most Film Friendly State?
Puducherry Chief Minister V Narayanasamy has submitted his resignation to Lieutenant Governor Tamilisai Soundararajan. The Puducherry Legislative Assemb...
As per the Constitution of India, every person who is arrested and detained in custody shall be produced before the nearest magistrate within a period o...